(Continued from The Original Asian Zodiac 2: The Moon Calendar)
Lunar Calendar
Over 100 years ago, Albert Einstein said time was a relative construct of mankind. Certainly, if we talk about a calendar system, that is the truth. The current Asian Calendar (I call it Asian because it is spread throughout the Asian continent) used to be purely a lunar calendar, which is an astronomical calendar, as opposed to a mathematically derived calendar, such as the Gregorian calendar. Let me give you an example.
In the Gregorian calendar, January, March, May, July, August, October, and December have 31 days. These months will always have 31 days no matter what happens in the skies, because the Gregorian calendar is mathematically derived and insists on 31 days for these months. It is not based on the appearance (or lack thereof) of the moon.
This is not the case for the lunar calendar. A month may have 29 or 30 days in different years, and the difference depends on the motion of the true Moon, which is highly irregular…to say the least.
Lunar calendars are astronomical calendars, meaning that a new month cannot start until the new moon begins.
As far as basing a calendar on the movements of astral objects are concerned, it is a sound idea. If you still have a sliver of moon left up in the sky, you just add another day onto the current month and that was that.
There are roughly 29.5 days between full moons, and the first day of each month was the day when an astronomical new moon occurred in a particular time zone. A new month could not possibly start until the old moon had died.
In this way, the lunar calendar moves fluidly with the celestial bodies, so that there is no such thing as a blue moon, which is the second full moon within a single calendar month.
According to Dr. Aslaksen, the ancient calendar follows what is called the Metonic cycle of 19 years, which is a common multiple of the solar year and the lunar month. It was so precise, it’s almost exactly equal to 235 lunar months, give or take a few hours.
Let me clarify that I am using the name Metonic cycle for reference only, as Metonic did not invent this method of calculation, he just rediscovered it for the western world. My ancestors–and many other civilizations including the Babylonians–had already been using it for a long time.
Each year would be 365.263 days, which means 19 years would be 6,940 days. The beauty of this thing is that the difference between 19 solar years and 235 lunar months is only a few hours, so you get a really good lunisolar calendar if you insert 7 leap months in each 19-year period.
This system worked really well if it wasn’t for two things that we can’t control–losing records, and cloud cover.
As with any astronomical calculations, much of the derivatives require previous documentation of stars and the paths they took. What if war or fire broke out and you lost centuries of star charts? How do you then base new computations on the old records you had?
There was the issue of cloud cover. This was something that happened, even without warfare or natural disasters which wiped out your vast documentation efforts.
Cloud Cover

In an era before drones and satellite imaging, visual accounting was all the rage, but what if it snowed for weeks? How could you determine new moon from old moon? This may seem to be a mundane issue that does not seem too important, but in a time when your astrological birth date had to be exact to determine very important situations and actions, it is unacceptable to not be able to pinpoint with accuracy, the exact minute, hour, day, month, and year of your birth.
For ancient astronomers/astrologers, it was imperative that they gave accurate information to the king about the sky cycles because if they were off by even a little bit, their heads would be stuck on a stick for the world to see.
In an attempt to be more precise without needing to completely depend on the vagaries of the weather, the calendar was changed to a more mathematically calculable calendar that, although had quite a few flaws, would be at least autonomous for most of the year.
It went from a purely lunar calendar to the lunisolar calendar, which helped us get past the need to visually confirm the new moon’s appearance, but there is no getting around precession of the equinox, and that inconvenient thing called Kepler’s second law.
Precession of the Equinox
One of the biggest issues to deal with for just about any calendar system is the precession of the equinox. Since it is a measure of the earth’s larger astronomical clock, it is also the basis of astronomy and astrology, not to mention many other folk lore customs that crop up with the cycles. It is also the one gnarly thing we have to deal with every few years.
Since we are talking about calendars, I have narrowed down the math to orbitals and axes cycles and I am going to do us all a favor and skip the rest of the math.
If you need more information about precession, please refer to my previous post, Change 4: Cyclic Change. I talked about precession of the equinoxes in more general terms, and how it affects many things, including time-keeping. I will limit the discussion of precession in this posting to how it affects time keeping.
A little over two-thousand years ago, accounts speak of three wise men (aka astronomers) who figured out the time of Jesus’ birth through star charts. Through the guidance of the movements of the stars, they were able to navigate to to his exact position to meet him. This means that star charts change over time, hence the need to keep accurate records. Case in point, back in 2016, we had a slight change with the western astrological star charts.
The Earth’s movement through space has also changed the twelve zodiacs. Due to precession of the equinox, Earth has moved into the area where Ophiuchus takes over parts of our winter sky, pushing Sagittarius back many days and leaving poor Scorpio with a paltry handful of days to call its own. Astrology die-hards would state emphatically that the Zodiac does not follow astronomy, but rather the seasons.
To that I say phooey.
Ancient astrology always followed star paths because in order to make predictions, they have to measure the movements of the stars (including our sun), our moon, and all the planets, to find the points in time when stars and planets align, eclipse, and retrograde.
This is such basic understanding of astrology that it makes no sense to completely ignore Ophiuchus, who has gradually taken over the winter night sky. Like it or not, we have to take into account Changes, especially the cyclical ones, because if we don’t, our calculations will be waaaaay off. That’s not acceptable for astrologers in today’s world. It was even more critical for astrologers back in the old days.
In the perfect world, we would not have leap years. In our world, we do because Earth doesn’t rotate around the sun in a perfect 365 days. It’s actually 365.25636. This is called a sidereal year, and after a certain number of years have gone by, that small quarter of a day keep getting tacked on to the end of each calendar year until, like the tail of a kite, it lengthens gradually until it’s turned into one full day.
On top of that, Earth’s orbit is not a perfect circle. It’s an elliptical orbit, which brings me to Kepler’s second law.
Kepler’s Second Law
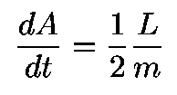
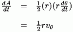
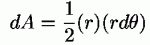
Here’s the gnarly math for Kepler’s second law.
L is angular momentum. dA is area of the arch. dA/dt is the rate at which the area is swept out on the orbit.


Kepler’s second law of planetary motion describes the speed of a planet traveling in an elliptical orbit around the sun. It states that a line between the sun and the planet sweeps equal areas in equal times. Thus, the speed of the planet increases as it nears the sun and decreases as it recedes from the sun. ~ Brittanica
Earth time is measured by the speed at which the Earth spins and rotates, but that rate of spin and rotation is not constant either because the Earth’s speed is determined by gravity. The stronger the gravity, the faster Earth moves. Add to that the moon’s constant gravitational tugging on the Earth and the time changes even more drastically.
This affects us because Earth’s orbit is not a perfect circle. It is a moving elliptical, so Earth moves faster when it is closer to the sun than when it is farther away. The sun’s gravity tugs more strongly, the closer Earth gets to the sun.

The point where the Earth is closest to the Sun is called perihelion. At this point in our existence, Earth is closest to the sun at the solstice in December, therefore it moves the fastest at this time. You would expect that being closer to the sun would make things warmer for the inhabitants of the Earth, but that’s not necessarily true.
I live in North America, but the point of time when the Earth is closest to the sun, the perihelion, actually lands in December for me, and the solstice hits in the dead of winter.
Of course, someone who lives in the southern hemisphere would have a nice warm summer, but that’s not because they are closer to the sun either. Trust me, their winter (my summer) is just as cold.
But this is not a permanent situation.
Due to the speed-up-slow-down, speed-up-slow-down of the Earth’s movement around the sun, each 12-month year is about eleven days too short, so the solstices and equinoxes move 11 days later. Each 13-month leap year is about nineteen days too long, so the solstices and equinoxes jump 19 days earlier. This tugging and pulling results in our calendar being constantly off by many days, which is far worse than the Metonic cycle.
This means we have to keep updating our calendars manually. There really is no other way. How you update the calendar depends on the system you use. In my series on the calendar system, I will only delve into the Asian Lunisolar Calendar’s method.
In my next post, I will talk about what makes up the lunisolar calendar, and the two counting systems (decimal and duodecimal) that merge into one to make the Asian calendar.
(to be continued)
…
http://burro.case.edu/Academics/Astr221/Gravity/kep2rev.htm
https://kids.britannica.com/students/assembly/view/90830
https://en.wikipedia.org/wiki/Metonic_cycle






hi taobabe, whats your insight on this? iching explained using math (base 8 system) thank you so much https://www.magichypercubes.com/Encyclopedia/i/IChingPaper.pdf
LikeLike
Eka, I read through the paper. Sadly, I’m really terrible in math, so I can’t give you much insight, other than the complete agreement that it is a type of machine language. Imagine if a crew of AI landed on Earth and had to try to teach some resident troglodytes how to do things to survive. The AI would do the best they could with the knowledge at their fingertips, in which case, binary numbers would be taught, since that is essentially what they used to program their own ships and computers, and even themselves. A base 8 would work well too, for troglodytes, if they were told to count in between the fingers, instead of on the fingers. That would give 8 numbers. 🙂 Cheers
LikeLike
Wow….in the OAZ2, i did say we need more but man, this will surely take me a while to take it all in. BUT! will take my time to absorb the great information you provided. Great reading as always. Thanks Taobabe.
LikeLike
It’s always a pleasure, AC. I am nowhere near done on this subject yet though. Still have a few more things to say about the calendar. 😀 OAZ2? Ornithine decarboxylase antizyme 2 ???
LikeLike